Hướng dẫn tính EVM trong dự án xây dựng bằng Excel dễ hiểu nhất
Phương pháp EVM (Earned Value Management) là gì? Cách tính EVM trong xây dựng dễ hiểu
Danh mục
Bộ phận bán hàng
SĐT: 0787 64 65 68
Zalo: 0971 954 610
SĐT: 0975 866 987
Zalo: 0975 866 987
SĐT: 098 884 9199
Zalo: 098 884 9199
Danh sách đại lý
Support online
Ms Thúy
0787 64 65 68
Mr Hòa
0975 866 987
Mr Quyết
098 884 9199
TCXDVN 300: 2003 (ISO 9251:1987)- Cách nhiệt- Điều kiện truyền nhiệt và các đặc tính của vật liệu- Thuật ngữ chấp nhận từ ISO (ISO 9251:1987)- Cách nhiệt- Điều kiện truyền nhiệt và các đặc tính của vật liệu- Thuật ngữ .
TCXDVN 300: 2003 (ISO 9251:1987)- Cách nhiệt- Điều kiện truyền nhiệt và các đặc tính của vật liệu- Thuật ngữ do Viện Nghiên cứu Kiến trúc biên soạn, Vụ khoa học Công nghệ- Bộ Xây dựng đề nghị và được Bộ Xây dựng ban hành.
Phần giới thiệu
TIÊU CHUẨN NÀY LÀ MỘT TRONG SỐ CÁC TIÊU CHUẨN VỀ THUẬT NGỮ DÙNG CHO CÁCH NHIỆT.
Các tiêu chuẩn này bao gồm :
- TCXDVN 299: 2003 (ISO 7345-1987)- Cách nhiệt- Các đại lượng vật lý và định nghĩa .
- ISO 9346- Cách nhiệt- Truyền nhiệt- Các đại lượng vật lý và định nghĩa .
- ISO 9229- Cách nhiệt- Vật liệu và sản phẩm cách nhiệt—Thuật ngữ 1)
- ISO 9288- Cách nhiệt-Truyền nhiệt bằng bức xạ-Các đại lượng vật lý và định nghĩa .
CÁCH NHIỆT - ĐIỀU KIỆN TRUYỀN NHIỆT VÀ CÁC ĐẶC TÍNH CỦA
VẬT LIỆU- THUẬT NGỮ
1. Phạm vi và đối tượng áp dụng
Tiêu chuẩn này định nghĩa các thuật ngữ được sử dụng trong lĩnh vực cách nhiệt nhằm mô tả các điều kiện truyền nhiệt và các đặc tính của vật liệu.
2. Các điều kiện truyền nhiệt
2.1.Trạng thái ổn định : Là điều kiện truyền nhiệt khi tất cả các thông số liên quan không đổi theo thời gian .
2.2 Trạng thái không ổn định : Là điều kiện truyền nhiệt khi các thông số liên quan biến đổi theo thời gian.
2.3 Trạng thái chu kỳ : Là trạng thái không ổn định trong điều kiện giá trị của các thông số liên quan lặp lại sau những khoảng thời gian đều nhau mà không phụ thuộc vào điều kiện ban đầu .
2.4 Trạng thái chuyển tiếp : Là trạng thái không ổn định trong đó giá trị của các thông số liên quan được biến đổi tiệm cận từ trạng thái ban đầu, đến trạng thái ổn định hoặc trạng thái chu kỳ
2.5 Truyền nhiệt : Là sự truyền năng lượng nhờ dẫn truyền nhiệt, đối lưu nhiệt hoặc bức xạ nhiệt, hoặc tổng hợp tất cả các phương thức trên
1) Trong giai đoạn soạn thảo
3. Đặc tính của vật liệu
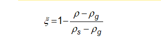
3.1 Độ xốp, x : Tổng thể tích của các khoảng rỗng trong vật liệu xốp chia cho tổng thể tích của vật liệu.
Ghi chú : Độ xốp của vật liệu có thể được xác định bằng công thức sau :

Trong đó :
r : Khối lượng riêng biểu kiến của vật liệu ;
rs: Khối lượng phần đặc của vật liệu ;
rg: Khối lượng riêng của không khí trong khỏang rỗng của vật liệu .
Khối lượng riêng biểu kiến của vật liệu được xác định bằng các phương pháp thực nghiệm .
3.2 Độ xốp cục bộ, xp : Độ xốp tại điểm P nằm trong phần vật liệu có khối tích nhỏ so với thể tích tổng thể nhưng đủ lớn để tính được giá trị trung bình có nghĩa.
3.3 Môi trường xốp: Môi trường không đồng nhất do có các khoảng rỗng và phần đặc phân bố một cách đều đặn.
Có thể phân chia các loại môi trường xốp theo cấu trúc hình học như quy định trong các điều từ 3.3.1 đến 3.3.4.
3.3.1 Môi truờng xốp dạng sợi: Môi trường được tạo bởi những phần tử khí liên tục nằm giữa các phần tử vật chất đặc có chiều dài là kích thước chiếm ưu thế.
3.3.2 Môi trường hạt xốp : Môi trường được tạo bởi những phần tử khí liên tục nằm giữa các phần tử vật chất đặc có hình dạng không theo quy luật và không kích thước nào của chúng chiếm ưu thế.
3.3.3 Môi trường xốp dạng tế bào : Môi trường được tạo bởi các phần đặc liên tục ngăn bởi các lỗ rỗng chứa khí dạng gần giống hình cầu.
3.3.4 Môi trường xốp kiểu mạng : Môi trường được tạo bởi các phần đặc liên tục bao gồm các lỗ rỗng có tiếp xúc bên trong tạo nên phần tử khí cũng liên tục .
3.4 Môi trường có độ xốp đồng nhất : Môi trường mà độ xốp cục bộ không phụ thuộc vào vị trí điểm tính toán.
3.5 Môi trường đồng nhất : Môi trường trong đó các đặc tính liên quan phụ thuộc vào vị trí của chính môi trường đó, mà có thể phụ thuộc vào các thông số như thời gian, phương hướng hoặc nhiệt độ . . .
3.6 Môi trường không đồng nhất : Môi trường trong đó các đặc tính liên quan phụ thuộc vào vị trí của chính môi trường đó do sự có mặt của các phần tử vật chất không giống nhau .
3.7 Khối lượng riêng r : Bằng khối lượng chia cho thể tích.
Ghi chú :
1. Đối với các vật liệu xốpvà vật liệu dạng hạt thì khối lượng riêng của phần đặc, khối lượng riêng của toàn khối có thể xác định được.
2. Theo ISO 31, khối lượng riêng được ký hiệu là “r ”, đơn vị đo là kilôgam trên mét khối (kg/m3).
3.8 Môi trường đẳng hướng : Môi trường trong đó các đặc tính liên quan không phụ thuộc vào phương hướng mà có thể là hàm số theo vị trí của môi trường hoặc hàm số biến thiên theo thời gian, nhiệt độ . . .
3.9 Môi trường không đẳng hướng : Môi trường trong đó các đặc tính liên quan là hàm số của phương hướng.
3.10 Môi trường ổn định : Môi trường trong đó các đặc tính có liên quan không phụ thuộc vào thời gian, mà có thể là một hàm số biến thiên theo tọa độ, phương hướng, nhiệt độ v.v...
Bài viết liên quan
Hướng dẫn tính EVM trong dự án xây dựng bằng Excel dễ hiểu nhất
Phương pháp EVM (Earned Value Management) là gì? Cách tính EVM trong xây dựng dễ hiểu
Quy Trình Dự Án Đầu Tư Công Nhóm B, C Thuộc Thẩm Quyền UBND Cấp Xã Theo Mô Hình 2 Cấp Chi Tiết
Quy trình thực hiện dự án mới theo mô hình 2 cấp
Hướng dẫn quyết toán công trình theo Nghị định 99 2021 NĐCP
Hướng dẫn lập hồ sơ quyết toán theo NĐ 99/2021, kèm biểu mẫu, cập nhật 2025 và giải pháp Nghiệm thu 360 giúp tự động hóa quy trình.
Phần mềm thanh toán giá trị khối lượng Tự động và chính xác
Tự động hóa thanh toán xây dựng: lấy dữ liệu nghiệm thu, tính giá trị, liên thông CĐT–nhà thầu, rút ngắn thời gian và tăng minh bạch.
Phần mềm quyết toán công trình Chuẩn hóa hồ sơ thanh toán
Số hóa quyết toán xây dựng: tự động lấy dữ liệu nghiệm thu–hoàn công, lập biểu mẫu TT99, giảm 70% thời gian và hạn lỗi.
Phần mềm hoàn công xây dựng Hỗ trợ lập hồ sơ hoàn công nhanh chóng
Số hóa hồ sơ hoàn công với Nghiệm thu 360: tự động hóa, chuẩn pháp lý, tăng tốc nghiệm thu–quyết toán.
Phần mềm quản lý chất lượng công trình Đáp ứng mọi yêu cầu kiểm soát chất lượng
Phần mềm Nghiệm thu 360 số hóa QLCL xây dựng: quản lý hồ sơ, tiến độ, vật liệu, ký số, truy xuất nhanh, chuẩn pháp lý.
Trình tự làm hồ sơ quản lý chất lượng công trình từ A đến Z
Hồ sơ QLCL là bắt buộc trong xây dựng; cần đúng quy trình, đủ biểu mẫu và nên dùng phần mềm Nghiệm thu 360 để tối ưu.
Làm chủ dòng vật tư trên công trường bằng phần mềm Quản lý thi công 360
Quản lý vật tư thông minh với Thi công 360: kiểm soát tiến độ, chi phí, giảm thất thoát, tăng hiệu quả thi công.
File Excel lập tiến độ thi công Mẫu chuẩn dễ sử dụng
Lập tiến độ thi công bằng Excel Gantt chart: dễ dùng, đúng pháp lý, tích hợp Nghiệm thu 360, quản lý hiệu quả dự án.
Tự động hóa quy trình quản lý vật liệu xây dựng bằng phần mềm Quản lý thi công 360
Tự động hóa quản lý vật liệu bằng phần mềm Thi công 360 giúp tiết kiệm chi phí, minh bạch, kiểm soát chặt vật tư.
BIM Manager, BIM Coordinator, BIM Modeler là gì? Vai trò và Cơ hội nghề nghiệp BIM tại Việt Nam
BIM Manager, BIM Coordinator, BIM Modeler là gì? Vai trò và cơ hội nghề nghiệp BIM tại Việt Nam>
Phần mềm lập tiến độ thi công tự động Tối ưu hóa quản lý công trường
Phần mềm lập tiến độ thi công tự động, liên kết nhật ký & nghiệm thu, giúp theo dõi, tối ưu tiến độ và giảm sai sót.
Quản lý vật tư thi công hiệu quả với phần mềm Quản lý thi công 360
QL vật tư thi công 360 giúp kiểm soát nhập–xuất–tồn thời gian thực, giảm thất thoát, cảnh báo thiếu, nâng hiệu quả.